隧道超前预报系统 TRT7000隧道超前预报系统(进口)

TRT7000型地震波反射三维扫描成像
隧道地质超前预报系统
TRT7000型超前预报系统采用扫描成像技术获得隧道前方的全息图,代表国际上隧道超前预报领域的水平。
·采用隧道反射扫描成像技术,生成隧道前方地层结构的全息三维图
·勘测结果直观,检测成果易于解译、断层、破碎、富水带、岩溶及采空区特征明显。
·没有耗材,勘测费用低
·系统采用无线连接,操作简单、携带方便
·勘试时间短,不影响隧道施工
·适用范围广:铁路、公路、水利、矿山等领域均可应用,探测距离远(100-300米)
TRT7000型隧道超前预报系统介绍
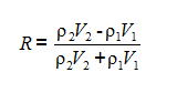
TRT7000型隧道超前预报系统采用隧道地震波反射三维成像技术,该技术的基本原理在于当地震波遇到声学阻抗差异(密度和波速的乘积)界面时,一部分信号被反射回来,一部分信号透射进入前方介质。声学阻抗的变化通常发生在地质岩层界面或岩体内不连续界面。反射的地震信号被高灵敏地震信号传感器接收,通过分析,被用来了解隧道工作面前方地质体的性质(软弱带、破碎带、断层、含水等),位置及规模。正常入射到边界的反射系数计算公式如下:

假设R 为反射系数,ρ1、ρ2为岩层的密度,V 等于地震波在岩层中的传播速度。地
震波从一种低阻抗物质传播到一个高阻抗物质时,反射系数是正的;反之,反射系数是负的。因此,当地震波从软岩传播到硬的围岩时,回波的偏转极性和波源是一致的。当岩体内部有破裂带时,回波的极性会反转。反射体的尺寸越大,声学阻抗差别越大,回波就越明显,越容易探测到。通过分析,被用来了解隧道工作面前方地质体的性质(软弱带、破碎带、断层、含水等),位置、形状、大小TRT7000勘测成本低。
1 TRT7000超前预报使用锤击作为的震源,可重复利用,不需要耗材,而使用炸药爆炸作为震源每次需要相当费用。
2使用锤击作为震源,可在同一点做多次锤击,通过信号叠加,使异常体反射信号更加明显。
3用锤击作为震源克服了爆炸产生的高能量对周围岩体产生挤压、破坏现象,从而保证接收到真
实的地震波信号。
4由人控制锤击产生地震波,重复性好,操作简单,而爆炸产生地震波时高频信号迅速衰减,对操
作人员的要求比较高。
5 TRT7000采用高精度的加速计作为传感器,灵敏度高(1V/g),保留了高频信号,提高了精度及探测距离(硬质岩中为300米,软质岩中为150米,黄土地层100米)。
6传感器和地震波采集、处理器之间采用无线连接,大大简化了装备(只有两个箱子,尺寸见设备配置)。两个箱子的重量仅为16Kg,携带方便。
7.TRT7000的传感器布点(图1)采用立体布点方式,在隧道两边分别布置4个传感器,然后在隧道顶
上布置两个传感器,从而获得真实的三维立体图,直观的再现了异常体的位置、形态及大小。而其他
仪器一般在左右边墙各布置一个地震波信息接收器接收地震波,这样的布置方式只能获得异常体的位置
信息,而不能获得形状、大小等信息,同时对于大角度斜交隧道的裂隙可能没有反映。

图1.TRT7000超前预报震源及传感器的典型布置
⑧ TRT7000还采用了扫描图像处理方式,绘制三维视图,并可以从多个角度观察缺陷,使得图像更加清晰,易于理解,从而轻松地进行缺陷诊断。
⑨ TRT7000能描绘到隧道水平和垂直方向的所有异物。而其他仪器只能描绘几乎垂直于隧道的充满 空气或水的裂隙及近距的垂直裂隙,不能描绘稍远距离的下一或第三裂隙(尤其是充气裂隙)。对于斜交隧道(由其是大角度斜交隧道)的裂隙没有反映。对于所描绘的倾斜裂隙,会低估它们的距离。

三、TRT技术在国内的应用
TRT采用了业内众多先进技术,成为地下工程地质界的一颗璀璨的明珠,获得了广泛的认同,在铁路、公路、水利、铁矿、煤矿等领域得到应用,取得了丰硕的成果。下面是TRT在国内的一些应用实例。
1、断层破碎带检测
莱芜谷家台铁矿32-2线处涌水量较大,为弄清前方地质构造,2008年10月11日莱芜铁矿使用TRT进行检测,获得如下的成果图,从图中的异常上看,前方存在断层构造。

2007年11月在贵州沾益线上进行了检测,探测结果显示,掌子面前方存在30米左右的破碎带。

2、煤层顶、底岩体地质情况的检测
为了掘进,2009年11月8、9日山西潞安煤矿使用TRT对掘进面前方的煤层顶、底板岩体地质情况进行了检测。检测结果显示,在挖掘面前方45米处煤层顶板的岩性发生变化。

3、采空区检测
2011年4月8日在南充-大竹-梁平公路铜锣山隧道检测,成果中显示掌子面前方45米处有一空区,经验证是先前采煤留下的竖井。

四、TRT7000配置及参数
A. 配置:
主机一台
地震波数据采集软件
RV3D 处理,显示软件
10个加速度传感器
11个无线触发模块
1个触发器
基站1个,用来连接主机,控制远程模块收集数据;
基站模块,向无线模块发送采集指令,接收无线模块采集的数据,将数据传输到主机
B.参数:
1.数据采集
采用无线数据传输和通信,立体布置震源和传感器,采集立体空间的波场信息;
2.震源及触发方式
锤击震源,使用触发开关回路触发;
3. 传感器
灵敏度1V/g;单分量传感器,灵敏度1V/g;频率范围10-10000Hz;
4. 无线模块
记录地震波,向基站无线发送记录到的地震波,频率范围: 0.7 to 3900 Hz,采集记录长 度:64-8192ms,采样频率:250-32000道/秒,模数转换:24位;
5. 主机
专用工业级笔记本电脑,松下CF-31,windows中文操作系统 。屏幕尺寸: 13.3英寸CPU型号: Intel 酷睿双核 L2400CPU主频: 1.66GHz内存容量: 512MB硬盘容量: 80GB显卡芯片: Intel GMA 950,USB端口:4个;
6. 主机分析软件
分析软件基于地震波反射的原理,通过时间滤波器,频率滤波器,速度滤波器反演预报区域三维空间中的地震波波阻信息,可以2D和3D图形和图表形式输出结果,能生成地质不连续界面、倾角和走向以及与隧道轴交点的三维成像图,可对结果进行任意切片。
7.预报范围
隧道中心线左右、上下50米,掌子面前方100-300米
8. 温度:
a. 适用温度范围: 0 oC到 60oC;
9.运输箱尺寸
两个运输箱尺寸:55cm*43Cm*22Cm

